年平均風速
[m/s]
平年値補正を実施した年平均風速。ここで、平年値補正とは、計算対象年の特殊性を除き、平均的な風況とするための補正である。本マップでは解像度10km、20年間のWRFによる計算結果を用いた平年値補正が実施されている。
風配図
風向別風速階級別の出現頻度を表す図。本マップでは風向16方位、風速5階級(ダウンロード用データでは51階級)で表現される。
風速階級別
出現頻度
年間の風速データ数に対する1m/sの風速ビン内における風速の出現頻度。本マップでは30階級(ダウンロード用データでは51階級)で表現される。
ワイブル分布
風速階級別の出現頻度を近似する確率分布。確率密度関数は以下の式で表される。

ここで、
[m/s]:ハブ高さにおける風速
[-]:ワイブル分布の形状パラメータ
[m/s]:ワイブル分布の尺度パラメータ
ワイブル係数
(、[m/s])
ワイブル分布の形状パラメータ [-]及び尺度パラメータ [m/s]。
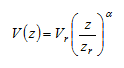
べき法則
風速の鉛直方向分布を表す数式。指数則ともいう。

ここで、
[m/s]:高度
における風速
[m]:高度
[m]:プロファイルを合わせるために用いられる基準高度
Vr [m/s]:基準高度
zr における風速
α [-]:べき指数
べき指数
(α [-])
べき法則に用いられる指数。
長期年平均風速
標準偏差 [m/s]
20年間の各年の年平均風速から求めた標準偏差。
出力曲線[kW]
横軸に風速、縦軸に風車出力をとり、両者の関数関係を示す曲線。パワーカーブともいう。
推定年間
発電電力量
[kWh]
風力発電装置の1年間の発電電力量の推定値。推定値は、出力曲線及びハブ高さにおける風速階級別出現頻度分布をもとに計算する。ここでは、風車の利用可能率を100%とした。
設備利用率[%]
ある期間中における風車総発電電力量の、同期間中に定格出力で運転したと仮定して風車が発生可能な発電電力量に対する比。
定格出力[kWh]
機器又は装置の規定の運転条件に対する出力の値。ここでは、風力発電システムを対象とする。